3con14-logo

T · Valor absoluto y distancia

Valor Absoluto

El valor  absoluto de un número  `a` , escrito `|a|`, es la distancia de  `a`  al cero en la recta real. Una distiancia es siempre positiva o cero, de modo que tenemos  `|a|>=0`  para todo número real  `a`. Por lo tanto tenemos esta definición:

`|a| = { (+a,  si  a>=0), (-a,  si  a<0) :}`

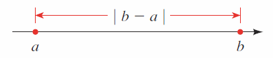
Distancia entre puntos de la recta real:

Si  `a`  y  `b`  son números reales, entonces la distancia entre los puntos  `a`  y  `b`  sobre la recta real es:

`d(a,b) = |b-a| = |a-b|`

 

Ver más...

 

Propiedades:
  1. `|a|>=0`  El valor absoluto de un número es siempre positivo o cero.
  2. `|a|=|-a|`  Un número y su negativo tienen el mismo valor absoluto.
  3. `|a+b|<= |a|+|b|`  Desigualdad triangular.
  4. `|ab| = |a||b|`  El valor absoluto de un producto es el producto de los valores absolutos.

valor absoluto

[ Análisis ]

wolfram
geogebra
Symbolab3
Mathway
wiris
geoEnZo web
desmos
graph tk

Visitas...

Hoy ........ 2198

Ayer ....... 3176

Mes ....... 38099

TOTAL ... 6133509

En línea...

Hay 69 invitados y ningún miembro en línea