r011pb_calculo
Problema r011
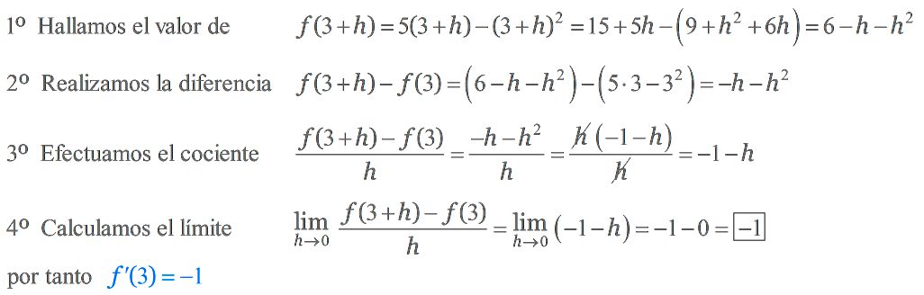
Hallar el valor de la derivada de `f(x)=5x-x^2` en el punto x=3, por la definición.
La definición de derivada en un punto implica realizar 4 pasos:

Problema r011
Hallar el valor de la derivada de `f(x)=5x-x^2` en el punto x=3, por la definición.

Hoy ........ 4461
Ayer ....... 4815
Mes ....... 83489
TOTAL ... 6594956
Hay 224 invitados y ningún miembro en línea