r010pb_geometría_analitica
Problema r010
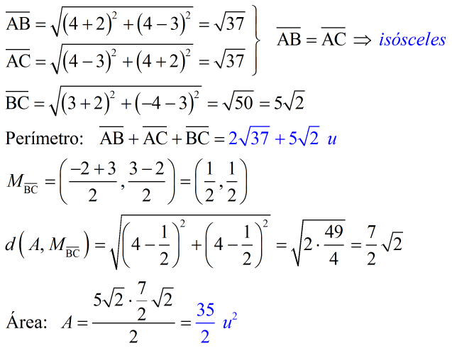
Comprobar que el triángulo de vértices A(4,4), B(-2,3) y C(3,-2) es isósceles. Calcular su perímetro. Calcular su área.
- Para comprobar que es isósceles calculamos las longitudes de sus lados y verificamos que tiene dos lados iguales.
- Para calcular su perímetro sumamos las longitudes de sus tres lados.
- Para averiguar su área calculamos las coordenadas del punto medio del lado mayor y hallamos la distancia del vértice opuesto a este punto que será su altura, después aplicamos la fórmula del área de un triángulo.
